【導讀】傳統生命體征監測依賴電極貼片、血氧夾等有線接觸式設備,對新生兒、燒傷患者或癲癇患者等特殊群體存在接觸限制與移動監測盲區。毫米波雷達傳感器通過非接觸式探測技術,實時捕捉心率、呼吸頻率等關鍵指標,穿透衣物/被褥實現精準監測,支持居家多患者同步追蹤。其抗干擾能力與隱私保護特性,為行動自如患者提供無感化健康管理方案,推動家庭醫療監測向智能化升級。
引言
傳統生命體征監測依賴電極貼片、血氧夾等有線接觸式設備,對新生兒、燒傷患者或癲癇患者等特殊群體存在接觸限制與移動監測盲區。毫米波雷達傳感器通過非接觸式探測技術,實時捕捉心率、呼吸頻率等關鍵指標,穿透衣物/被褥實現精準監測,支持居家多患者同步追蹤。其抗干擾能力與隱私保護特性,為行動自如患者提供無感化健康管理方案,推動家庭醫療監測向智能化升級。
毫米波 (mmWave) 雷達傳感器可以檢測非常細微的運動,即使是患者胸部的起伏。由于胸部運動受呼吸(基頻)和心率運動(額外諧波)的影響,因此對胸部運動的精細測量可以實現對生命體征的非接觸式測量。
該功能的主要促成因素是傳感器能夠通過調頻連續波 (FMCW) 檢測和多輸入多輸出 (MIMO) 天線雷達系統的組合來檢測患者胸部的位置和速度。
該傳感器還可以檢測床上的運動并向護理人員告知潛在的褥瘡,甚至可以同時監測多個患者,例如一對老年夫婦。此外,毫米波傳感器可以檢測到人員跌倒并實時通知護理人員。
集成的重要
線性調頻脈沖斜坡線性度是確保 FMCW 系統中準確且可重復測量的參數之一。將整個模擬鏈集成在單片微波集成電路上,不僅可以減少設計與設計之間的差異,還有助于提高整體測量線性度,因為可以在老化和溫度范圍內執行有效的監測和校準。
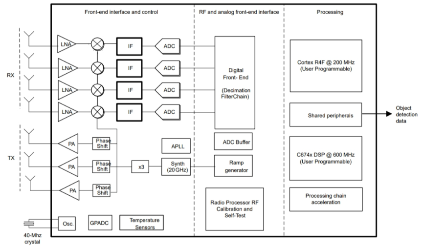
查看圖 1 中德州儀器 (TI) IWR6843 的方框圖可以發現,發送器-接收器部分的唯一外部元件是標準 40MHz 晶體。除了這個外部 40MHz 晶體之外,IWR6843 還提供完全的發送器/接收器集成,具有:
斜坡發生器。
小數鎖相環。
20GHz 壓控振蕩器 (VCO),當從外部路由(或從外部源選擇)時,可同步多個前端并在顯著更大的虛擬天線上實現相干采樣。
IWR6843 還包含用于發送器和接收器的完整射頻 (RF) 鏈,其中包括:
軟件可編程功率放大器,可實現多級發送功率,從而在根據環境和射頻法規調整鏈路預算時實現更大的靈活性。
用于波束控制的動態可編程移相器。
低噪聲放大器,當與功率放大器一起編程時,可對鏈路預算進行微調。
可通過發送和接收線性調頻脈沖生成中間頻率 (IF) 的混頻器。
IF 模擬濾波器。
采樣頻率高達 25MHz 的模數轉換器 (ADC)。

圖1 IWR6843 方框圖
在 MMIC 片上系統集成完整的射頻鏈可實現功能安全所需的診斷能力水平。
IWR6843 上的全數字信號鏈處理集成可提供:
雷達硬件加速器,支持經典雷達信號處理中的 16 位測距、多普勒或到達角快速傅里葉變換 (FFT) 和恒定虛警率 (CFAR)。
600MHz 完全可編程的數字信號處理器,可實現完全可定制的信號處理。
完全可編程的 200MHz Arm? Cortex?-R4F 微控制器,用于群集、跟蹤和應用級代碼。
除了裸片級集成之外,IWR6843 的型號 IWR6843AOP 還在封裝上配有天線,可進一步實現集成并減小印刷電路板 (PCB) 面積,適用于空間受限型應用或射頻信號的 PCB 布線具有挑戰性的情況。
FMCW
FMCW 提供了十分簡單的調制方案,可在測量距離時實現寬范圍和高精度。FMCW 還提供徑向尺寸(雷達與目標之間的線)的速度測量均值,可以是高速(如汽車速度),也可以是低速(如呼吸時胸部起伏速度)。此類細微動作的跟蹤通常稱為多普勒檢測或微多普勒檢測。
線性調頻脈沖
線性調頻脈沖描述了 FMCW 中使用的調制;瞬時頻率 f(t) 隨時間呈線性變化,因此這是一個線性調頻脈沖。發送的線性調頻脈沖和接收的線性調頻脈沖之間的頻率差與飛行時間(到達目標并返回的時間)成正比,因此與到目標的距離成正比。
方程式 1 將發送的波幅表示為:

其中 K 是發送頻率以時間為單位增加的斜率(對于 IWR6843,該值可以是介于 0 MHz/μs 和 250MHz/μs 之間的任何值),AT 是信號發送的振幅(發送功率),f0 是在線性調頻脈沖開始處發送的最低頻率(57GHz 或 60GHz,具體取決于所選的 VCO)。
方程式 2 將接收的波幅表示為:

其中,對于 δ = (2 × d) / v (是飛行時間的兩倍),d 是到目標的距離,v 是光在介質中的傳播速度。
混頻器
混頻器將發送信號和接收信號之間的頻率差進行倍增(方程式 3):

按照三角函數的基本規則,混頻器的輸出是兩個正弦之和:一個正弦的頻率是 f_TX 和 f_RX 之差,另一個正弦是兩者之和。
使混頻器的輸出通過低通濾波器可恢復 IF 信號,其頻率是發送器和接收器之間的頻率差。
方程式 4 將積化和差公式表示為:

混頻器的輸出通過低通濾波器會產生 IF,這是發送器和接收器之間的頻率差(因此是一個與飛行時間成正比的量)。
方程式 5 是所得到的 IF 信號:

ADC 將信號數字化;請注意,信號的頻率遠低于線性調頻脈沖的頻率,因此很容易通過普通的 ADC。例如,IWR6843 中 ADC 的最大采樣頻率為 25MHz。
從方程式 5 中,您可以清楚地看到用于測量胸部運動的心率和呼吸頻率的多普勒元素來自何處。
FFT 和峰值檢測
一旦信號只攜帶相關信息(yIF 頻率是飛行時間的鏡像),信號將通過距離 FFT,然后執行 CFAR 算法或閾值化算法。圖 2 所示為不同天線之間的飛行時間差。

圖 2 每根接收天線的相位增加 MIMO 圖示
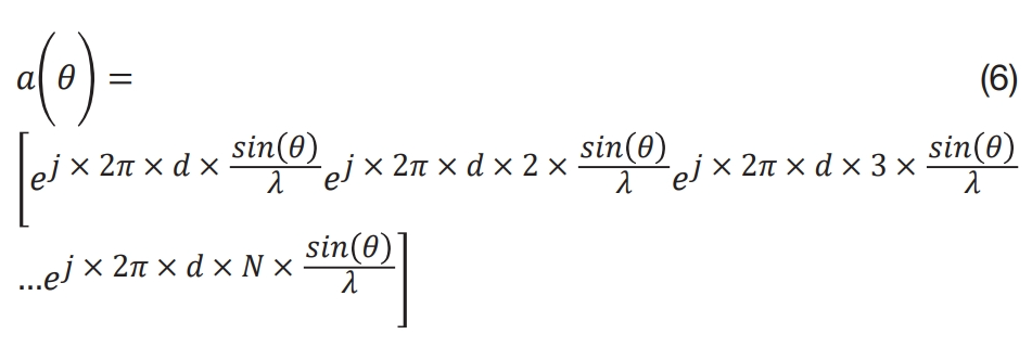
概括而言,到達角是根據每根接收天線處測量的飛行時間差得出。在數學層面上,方程式 6 將每根天線的轉向矢量定義為:

轉向矢量用于在每根天線處組合來自每個目標的信號。方程式 7 表示通過所有天線從每個目標發出的所有信號之和,其中 xi 是第 i 根天線接收的信號:

方程式 8 對平均功耗的計算如下:

傳統的接收波束形成(也稱為 Bartlett 波束形成方法)是基于窄帶陣列的較早的到達方向估算算法。該算法可更大程度地提高波束形成器相對于特定方向的輸出功率,將方程式 9 中的最大化關系表示為:

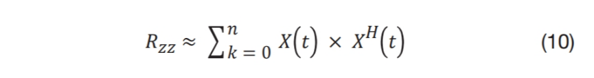
為了計算每個 θ 的 P(a(θ)),公式 10 將 R 近似為:

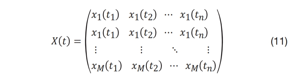
其中 X 是信號矩陣(方程式 11):

從這些公式中,您可以看到 MIMO 雷達如何在三個維度上實現位置推導。
沿您想要檢測的方向進行波束控制
使用雷達傳感器捕獲場景數據通常需要對天線波束寬度提供的整個視場的每一幀周期進行航向掃描。該航向掃描可以捕獲相關和不相關物體的反射,您需要從掃描中提取和表述特定對象,或者在本例中,提取和表述需要測量生命體征的患者。確定患者位置后,可利用傳輸波束形成來聚焦波束,如前所述。
如果患者不在視軸處,則可以激活波束控制。該功能由每個發送器上步長為 5.625° 的 6 位可配置移相器實現,提供 64 種設置來覆蓋 0° 至 360° 相移。移相器位于相應的功率放大器之前,并根據主波束的聚焦位置為每個發送通道分別進行編程,請參閱圖 3。移相器通常是基于矢量調制器的模擬結構,該調制器使用數模轉換器在信號放大之前對信號進行相移。

圖 3 發送級中包含的移相器
當有多個受試者處于雷達傳感器的不同方位角時,您可以實時對移相器進行編程,要么幀到幀(通常為 100ms 至 200ms),要么更低(使用子幀時)。例如,波束可以基于子幀以 20° 的步長在 -60° 至 +60° 的范圍內進行掃描,全場景掃描持續時間不到 200ms,如圖 4 所示。這有助于在一個房間內全方位檢測多個受試者的生命體征,這些受試者的角度各不相同,并由發送波束依次照亮。

圖 4 將每個子幀的波束轉向角更改 20°
Calibration
為了在電壓和溫度變化時維持性能,TI 毫米波雷達器件支持射頻初始化階段(調用 RfInit() 應用編程接口)以及運行時(在應用執行期間)的啟動時間校準。圖 5 顯示了校準類型的示例排序,可能包括以下類型:
模擬鎖相環校準。
合成器 VCO。
局部振蕩分布校準。
ADC 直流失調電壓。
IF 放大器高通和低通截止頻率。
峰值檢測器。
發送和接收增益。
靜態電流失配。
發送移相器。

圖 5 功能線性調頻脈沖、監測和校準的時序
圖 6 說明了射頻前端中的一些集成,用于校準發送和接收模擬前端參數。連同 PA 輸出和 LNA 輸入的功率檢測器,結合環回路徑,可以持續監測和補償整個前端。

圖 6 IWR6843 的診斷和監測功能概述
結論
毫米波器件包含 FMCW 雷達所需的高度集成功能,只需一個外部 40MHz 晶體,即可為整個前端計時。此類產品可在三個維度上檢測精細的微多普勒運動,包括檢測人類的呼吸和心率。
將多個 TX 鏈與移相器進一步集成可實現發送波束形成和波束控制,從而在更小的視場中實現 SNR 改進,同時保持 MIMO 運行以進行 3D 傳感。
最后,所有模擬元件的監測和校準集成可在器件的整個生命周期內實現一致的性能。這種級別的模擬集成使多患者非接觸式生命體征傳感器能夠居家使用。
本文來源于德州儀器《模擬設計期刊》。《模擬設計期刊》由德州儀器工程師和專家精心撰寫并匯編,覆蓋從基礎知識到先進技術、從數據轉換器到傳感器應用的廣泛主題,為模擬設計新手和資深用戶提供實用信息和解決方案。
免責聲明:本文為轉載文章,轉載此文目的在于傳遞更多信息,版權歸原作者所有。本文所用視頻、圖片、文字如涉及作品版權問題,請聯系小編進行處理。
推薦閱讀:






