【導讀】板載DC-DC轉換器產生的電磁干擾(EMI)是物聯網產品的常見問題。這些小電路通常在1MHz和3MHz之間以亞納秒級邊緣速率快速切換,結果產生超過2GHz的寬帶EMI。
板載DC-DC轉換器產生的電磁干擾(EMI)是物聯網產品的常見問題。這些小電路通常在1MHz和3MHz之間以亞納秒級邊緣速率快速切換,結果產生超過2GHz的寬帶EMI。EMI會影響敏感接收器電路的靈敏度,尤其是蜂窩和全球導航衛星系統(GNSS)。
測量DC-DC轉換器EMI性能的一種有效方式是在時域中使用小型磁場(H-field)探頭測量上升時間和振鈴。通過將磁場探頭耦合到轉換器輸出電感器,即可實現非侵入性測量(如圖1所示)。

圖1:將探頭耦合到輸出電感器來探測典型物聯網板板載DC-DC電源轉換器產生的波形。電感器采用相對較大的圓形封裝,所以很容易識別。如圖所示,探頭應擺平,以實現最大耦合。
檢測開關波形上的振鈴很重要,因為振鈴頻率可以轉變為發射特性中的寬峰值。磁場探頭快速而安全,因為它不需要直接連接到電路,只需耦合到DC-DC轉換器輸出電感器即可。
Rohde&Schwarz HZ-15近場探頭套件包括幾個磁場探頭(或環)。由于想要耦合的是走線和元件中的電流,因此采用了這個類型。最大的那個探頭太敏感,分辨率太低,不足以隔離發射源。另一個直徑約1厘米的較小探頭(型號RS H 50-1),適合在板級識別和探測EMI。簡單地將探頭連接到50Ω示波器輸入端,進行調整,可以獲得顯示良好的波形。
[編者注:Beehive、Com-Power、ETS-Lindgren、Keysight Technologies、Langer EMV、TekBox、Tektronix等公司均提供EMI探頭套件。]
我們用數學方法來驗證這種特征化測量(如圖2所示)。在電感器和磁場探頭之間可能存在某個未知的互耦因子(即下面等式中的M)。由于我們不知道該互耦因子到底是多少,所以無法對振幅與示波器探頭實際測量的值進行比較。因為我們的目標是EMI,所以在這里主要關注上升時間、一般開關波形和振鈴頻率(如果有的話)。

圖2:DC-DC轉換器輸出電感器的開關波形(SW)通過互感(M)耦合到磁場探頭。
DC-DC轉換器通常具有準方波信號(VL),從轉換器開關節點(SW)和輸出電感器(L)輸入流到地回路,這就是我們要用示波器探頭進行測量的信號。通過電感的電流與電壓的關系如下:

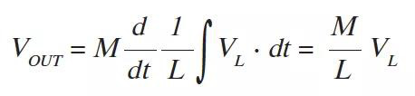
假設磁場探頭靠近電感器,得到一些互耦,M(未知),探頭的輸出是:

合并前面兩個公式,得出:

然后提出常數M/L,得出VOUT∝V。
由于VOUT與VL成正比,因此可以輕松快速地測量最重要的EMI特性,而不會與示波器探針產生連接短路。將磁場探頭靠近每個DC-DC轉換器電感器,可以測量上升時間(表示諧波頻率的上限)、脈沖寬度和周期(也考慮諧波頻率),以及振鈴頻率(在寬帶頻譜中會導致出現寬諧振峰值)。
圖3和圖4比較了帶寬為GHz的RT-ZS20 1.5示波器探頭(帶短探針)和RS H 50-1磁場探頭的開關波形特性。除振幅外,測量結果類似。

圖3:使用耦合磁場探頭(上部跡線)和直連單端探頭(下部跡線)測量典型物聯網設備的DC-DC轉換器輸出電感,顯示了相似的波形。但使用磁場探頭可以快速測量上升時間、周期和振鈴,而沒有電路短路的風險。

圖4:DC-DC轉換器的振鈴測量,可能在8MHz時產生EMI寬峰值(加上高次諧波)。
將同樣的磁場探頭連接到Siglent SSA 3032X頻譜分析儀,其起始和終止頻率分別為1和500MHz,且具有120kHz的分辨率帶寬,結果在寬帶頻譜內得到8MHz諧振峰值(如圖5所示)。

圖5:DC-DC轉換器產生的寬帶頻譜在Marker1處顯示出8MHz諧振峰值。
在我見過的許多案例中,振鈴頻率很容易發生在100MHz左右,引起發射頻譜的寬峰值,在這種情況下,如果耦合到天線狀結構(通常是電纜),則可能導致EMI故障。



