- 10倍無源探頭的模型和輸入負載設定
- 無源電壓探頭的校準
本文我們將集中討論無源電壓探頭的模型和參數設定以及使用校準原理。
一、10倍無源探頭的模型以及輸入負載設定

圖1. 探頭原理圖
圖1是工程師常用的10倍無源電壓探頭的原理圖,其中:
Rp (9 MΩ)和Cp位于探頭尖端內
Rp為探頭輸入阻抗
Cp為探頭輸入電容
R1 (1 MΩ)表示示波器的輸入阻抗
C1表示示波器的輸入電容和同軸電纜等效電容以及探頭補償箱電容的組合值
為了精確地測量,兩個RC時間常量(RpCp和R1C1)必須相等;任何不平衡都會帶來測量波形的失真,從來引起使一些參數如上升時間、幅度的測量結果不準確。因此,在測量前需要校準示波器的探頭的工作以保證測量結果的準確性。 從探頭的信號模型我們可以分析, 對于信號的DC量測,輸入容性Cp和C1等效為開路。信號通過Rp和R1進行分壓,最終示波器的輸入為:
Rp (9 MΩ)和Cp位于探頭尖端內
Rp為探頭輸入阻抗
Cp為探頭輸入電容
R1 (1 MΩ)表示示波器的輸入阻抗
C1表示示波器的輸入電容和同軸電纜等效電容以及探頭補償箱電容的組合值
為了精確地測量,兩個RC時間常量(RpCp和R1C1)必須相等;任何不平衡都會帶來測量波形的失真,從來引起使一些參數如上升時間、幅度的測量結果不準確。因此,在測量前需要校準示波器的探頭的工作以保證測量結果的準確性。 從探頭的信號模型我們可以分析, 對于信號的DC量測,輸入容性Cp和C1等效為開路。信號通過Rp和R1進行分壓,最終示波器的輸入為:
Vout=[R1/Rp+R1]*Vin=1/10* Vin
示波器輸入信號衰減為待測輸入信號的1/10。對于較高頻率的輸入信號,容抗對于信號的影響會大于阻抗。例如,一個標準的1MΩ~10pF的無源電壓探頭,輸入信號的頻率為100MHz,此時,探頭輸入容抗為:
Xc(Cp) = 1/(2×π×f×C)=159Ω
容抗遠遠小于9MΩ的探頭阻抗,信號電流更多的會通過輸入電容提供的低阻回路,9MΩ阻抗的高阻回路等效為旁路。也可以理解為159 Ω和9MΩ的并聯之后等效阻抗為159 Ω。此時,實際輸入到示波器的信號幅度(AC/高頻)是由探頭的輸入電容以及回路總電容的比值決定,等效為:
Vout=[Cp/Cp+C1]*Vin
一般來說,無源探頭的電纜存在8-10pF/foot的容性負載(1 foot 英尺=12 inches 英寸=0.3048 metre 米),1.5nS/foot的上升時間。 對于一個6feet的電纜就存在60pF容性,加上一般示波器的20pF的輸入電容以及一些雜散,大致為90pF左右。根據1:10的分壓,探頭的輸入電容應該為10pF左右才能滿足 Vout/Vin=[10/10+90]=1/10 輸入衰減10倍的特性。考慮到探頭和電纜容性的一些誤差,需要使用探頭補償電容箱來進行一個回路補償,由于誤差,無源電壓探頭的輸入容性一般為8~12pF之間。目前主流的10倍無源電壓探頭的輸入負載模型一般都是輸入電容8~12pF,輸入電阻9M歐。
[page]二、無源電壓探頭的校準
討論到這里,對于無源探頭的輸入模型大家應該有了一定的了解,那為什么為了精確地測量,兩個RC時間常量(RpCp和R1C1)必須相等,測量前需要校準呢?我們可以再進一步簡化探頭模型為一個更簡單的阻容分壓電路如下:
示波器輸入信號衰減為待測輸入信號的1/10。對于較高頻率的輸入信號,容抗對于信號的影響會大于阻抗。例如,一個標準的1MΩ~10pF的無源電壓探頭,輸入信號的頻率為100MHz,此時,探頭輸入容抗為:
Xc(Cp) = 1/(2×π×f×C)=159Ω
容抗遠遠小于9MΩ的探頭阻抗,信號電流更多的會通過輸入電容提供的低阻回路,9MΩ阻抗的高阻回路等效為旁路。也可以理解為159 Ω和9MΩ的并聯之后等效阻抗為159 Ω。此時,實際輸入到示波器的信號幅度(AC/高頻)是由探頭的輸入電容以及回路總電容的比值決定,等效為:
Vout=[Cp/Cp+C1]*Vin
一般來說,無源探頭的電纜存在8-10pF/foot的容性負載(1 foot 英尺=12 inches 英寸=0.3048 metre 米),1.5nS/foot的上升時間。 對于一個6feet的電纜就存在60pF容性,加上一般示波器的20pF的輸入電容以及一些雜散,大致為90pF左右。根據1:10的分壓,探頭的輸入電容應該為10pF左右才能滿足 Vout/Vin=[10/10+90]=1/10 輸入衰減10倍的特性。考慮到探頭和電纜容性的一些誤差,需要使用探頭補償電容箱來進行一個回路補償,由于誤差,無源電壓探頭的輸入容性一般為8~12pF之間。目前主流的10倍無源電壓探頭的輸入負載模型一般都是輸入電容8~12pF,輸入電阻9M歐。
[page]二、無源電壓探頭的校準
討論到這里,對于無源探頭的輸入模型大家應該有了一定的了解,那為什么為了精確地測量,兩個RC時間常量(RpCp和R1C1)必須相等,測量前需要校準呢?我們可以再進一步簡化探頭模型為一個更簡單的阻容分壓電路如下:

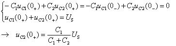
圖2. 探頭阻容分壓電路
讓我們來進行一個簡單的推導計算:
1.計算初始值uC2(0+)由于電容電壓發生躍變,要根據電荷守恒定律和KVL來確定
1.計算初始值uC2(0+)由于電容電壓發生躍變,要根據電荷守恒定律和KVL來確定

2.計算穩態uC2(¥)電容開路時,按照電阻分壓公式得到
3.計算時間常數
4.用三要素公式得到電容電壓uC2(t)

我們可以看到,波形有3種情況:
1.完全補償
1.完全補償

2.過補償

3.欠補償

以下圖示給出了欠補償、過補償和合理補償三種情況下探頭產生的波形。

圖3. 探頭欠補償波形圖

圖4. 探頭過補償說明圖

圖5. 探頭正常補償說明圖
所以, 在獲得一臺可以工作的示波器和探頭后應該要做的第一項工作是校準探頭以保證其內部RC時間常量匹配。這時需要將探頭連接到示波器的探頭補償輸出。然后使用非磁性調節工具調節補償箱中的調節螺螺絲完成校準一直觀察到平坦的波形響應。不要太頻繁校準,因為沒有必要。
本文關于無源電壓探頭模型的參數設定以及校準的原理就介紹到這里,而對于示波器和探頭以及數字測量在業內有很多的經典理論以及應用原則,比如信號的滾降特性,DSP信號濾波的處理。如何確保最真實的還原待測信號,大家可以參閱更多專業的書籍。 希望本文的介紹可以讓硬件工程師們更深入和全面的了解我們的測量工具,真正做到還原真實信號。
本文關于無源電壓探頭模型的參數設定以及校準的原理就介紹到這里,而對于示波器和探頭以及數字測量在業內有很多的經典理論以及應用原則,比如信號的滾降特性,DSP信號濾波的處理。如何確保最真實的還原待測信號,大家可以參閱更多專業的書籍。 希望本文的介紹可以讓硬件工程師們更深入和全面的了解我們的測量工具,真正做到還原真實信號。


