【導讀】信號或電磁波在高頻領域必須沿著均勻特征阻抗的傳輸途徑進行傳播。但是,一但遇到阻抗失配或不連續的現象,就會有一部分信號被反射回發送端,剩余部分電磁波則會繼續傳輸到接收端。本文主要講解的就是在PCB設計過程中,如何改進高頻信號傳輸中的SMT焊盤的設計。
信號反射和衰減的程度取決于阻抗不連續的程度。當失配阻抗幅度增加時,更大部分的信號會被反射,接收端觀察到的信號衰減或劣化也就更多。
阻抗失配現象在交流耦合(又稱隔直)電容的SMT焊盤、板到板連接器以及電纜到板連接器(如SMA)處經常會遇到。
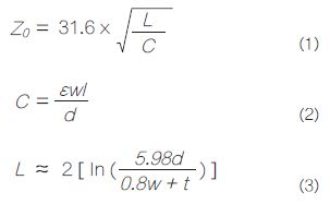
在如圖1所示的交流耦合電容SMT焊盤的案例中,沿著具有100Ω差分阻抗和5mil銅箔寬度的PCB走線傳播的信號,在到達具有更寬銅箔(如0603封裝的30mil寬)的SMT焊盤時將遇到阻抗不連續性。這種現象可以用式(1)和式(2)解釋。銅箔的橫截面積或寬度的增加將增大條狀電容,進而給傳輸通道的特征阻抗帶來電容不連續性,即負的浪涌。



C =條狀電容(單位:pF);
L =條狀電感(單位:nH);
Zo =特征阻抗(單位:Ω);
ε=介電常數;
w =SMT焊盤寬度;
l =SMT焊盤長度;
d =SMT焊盤和下方參考平面之間的距離;
t =SMT焊盤的厚度。
相同概念也可以應用于板到板(B2B)和電纜到板(C2B)連接器的SMT焊盤。
下面將通過TDR和插損分析完成上述概念的驗證。分析是通過在EMPro軟件中建立SMT 焊盤3D 模型, 然后導入Keysight ADS中進行TDR和插損仿真完成的。
[page]
分析交流耦合電容的SMT焊盤效應
在EMPro中建立一個具有中等損耗基板的SMT的3D模型,其中一對微帶差分走線長2英寸、寬5mil,采用單端模式,與其參考平面距離3.5mil,這對走線從30mil寬SMT焊盤的一端進入,并從另一端引出。


分析B2B連接器的SMT焊盤效應
在EMPro中建立一個B2B連接器的SMT焊盤的3D模型,其中連接器引腳間距是20mil,引腳寬度是6mil,焊盤連接到一對長5英寸、寬5mil,采用單端模式的微帶差分走線,走線距其參考平面3.5mil。SMT焊盤的厚度是40mil,包括連接器引腳和焊錫在內的這個厚度幾乎是微帶PCB走線厚度的40倍。


結語
本文的分析證明,裁剪掉SMT焊盤正下方的參考平面區域可以減小阻抗失配,增加傳輸線的帶寬。SMT焊盤與內部參考銅箔之間的距離取決于SMT焊盤的寬度以及包括連接器引腳和焊錫在內的SMT焊盤有效厚度。在PCB投產之前應先進行3D建模和仿真,確保構建的傳輸通道具有良好的信號完整性。
相關閱讀:
選擇PCB元件的技巧從何談起?那就從封裝開始吧
PCB電路板為什么要做阻抗?意義何在
瞅準PCB市場時機,各廠商均"擴充糧草",你瞅準沒?



