- 相位式光纖測量電路系統的設計與實現
- 相位法測量的基本原理
- 利用相位法測量光纖光程
- 采用混頻的方法進行差頻鑒相
- 利用組合測尺頻率先后進行兩次測量
引言
光電測距儀和全站型電子速測儀(以下簡稱全站儀)作為一種在多領域廣泛應用的計量儀器,為保證精度和可靠性,必須對誤差進行定期檢定和校正。目前這種檢定多在室外標準基線上采用多段基線組合比較法進行。但這種方法成本大,維護困難,且易受環境因素的影響,因而國內外一直致力于建立室內檢定裝置,以取代室外基線,完成測距儀的檢定和校正。
光纖作為一種光傳輸介質,以其良好的導光性和伸展性,成為激光測距室內校正的理想選擇,已有文獻對其可行性進行了分析?;诖?,我們研制開發了基于光纖的激光測距校正系統。在該校正系統中,利用光纖模擬室外基線,使用全站儀對光纖光程進行測量,其測量結果和光纖實際光程進行比較,從而達到檢定和校正的目的。
為了得到被測光纖基線的實際光程,需要對光纖的光程長度進行精確測量。現有的光纖長度測量方法有光時域反射(OTDR)、光頻域反射(OFDR)、干涉法、脈沖法,相位法等。其中相位法測量范圍較大、精度高,能夠很好地滿足光纖基線的測量要求。因而,我們利用FPGA、直接數字合成(DDS)、數字鑒相等技術,設計和實現了基于相位法的電路測量系統,用于光纖光程的測量。該測量系統具有比全站儀更高的測量精度,從而對光纖基線的實際光程進行標定,以其標定長度與全站儀測量結果進行比較,完成全站儀的校正。
1 相位法測量的基本原理
相位法激光測量技術利用光調制信號在發射端和接收端之間的相位差來實現對被測目標距離量或長度量的測量。
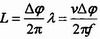
利用相位法測量光纖光程如圖1所示,一段光程為的光纖,其輸入輸出端分別為A、B,在A端輸入經調制的光信號,在光纖中傳輸后在B點輸出。設調制信號在A的相位為φ0,在B點的相位為φ1,那么通過檢測兩端之間的相位差△φ=φ1-φ0,可得到L值。

設光調制信號的頻率為f,光速為v,則信號波長λ=v/f,那么
調制信號可認為是相位法測量的度量標尺,稱之為“測尺”。測尺頻率越大,測量精度越高。由于測尺信號的周期重復性,使用一把測尺不能實現長度的準確測量。因而使用一組(兩個或以上)測尺一起對三進行測量,可同時保證測量的精度和范圍,得到準確測量值。
[page]
2 相位法測量的電路實現
2.1 電路實現方案
利用相位法對光纖光程進行測量的電路框圖如圖2所示。

主振信號通過調制器對光源發出的光進行調制,調制光在被測光纖中傳輸后由光電轉換器得到測量信號。原主振信號作為參考信號與測量信號分別和本振信號進行混頻,然后經信號整形后送入FPGA進行鑒相得到兩者相位差,該相位差包含了被測光纖的長度信息。FPGA通過相位差計算得到光纖光程,然后通過USB接口發送到上位機PC,顯示給用戶。實際測量中,按照以上流程,依次產生兩組不同頻率的測量信號,實現對光纖光程的準確測量。
2.2 系統關鍵技術的實現
2.2.1 FPGA單元的實現
FPGA單元使用Altcra DE2開發板實現,構建SOPC系統,調用開發板中USB組件實現與上位機的數據交互,利用NIOS II處理器進行信息處理、指令解析和測量計算。
同時使用Verilog HDL語言編寫頻率信號控制模塊和鑒相模塊。前者用于對頻率信號產生電路進行控制,后者對測量后的信號進行相位差檢測。其實現框圖如圖3所示。

2.2.2 頻率信號產生電路的實現
頻率信號產生電路在FPGA中頻率控制模塊的控制下,產生高精度正弦主振信號和本振信號,分別用于光調制和混頻。此電路產生的信號要求頻率可調,且具有高的頻率穩定性和低的相位噪聲,相位抖動小,以保證最終的測量精度。
在本系統中,我們基于直接數字頻率合成(DDS)技術進行信號產生。DDS的實現,使用芯片AD9951。AD9951是一個可控的頻率合成芯片,具有32位頻率轉換字,最大合成頻率為160MHz。系統中采用兩塊AD9951,分別產生主振信號和本振信號。FPGA通過該芯片的控制端口,對其產生的信號頻率進行控制。其控制時序如圖4所示。


[page]
由于測量信號頻率較高,直接對其進行鑒相難以達到良好的鑒相精度,因而在系統中采用混頻的方法進行差頻鑒相。在差頻鑒相中,參考信號和測量信號同時與本振信號進行混頻,濾除混頻后高頻分量,得到混頻后低頻參考信號和混頻后低頻測量信號?;祛l降低了信號頻率,但保持相位差不變,便于鑒相操作。相位差的檢測使用自動數字鑒相法。其原理如圖7所示。參考信號和測量信號通過過零比較,得到參考方波信號和測量方波信號。比較兩方波信號,得到兩者之間的相位差信號,然后使用高頻計數脈沖對相位差信號,然后使用高頻計數脈沖對相位差信號進行計數。設參考信號和測量信號的周期為f,高頻計數脈沖的頻率為fc,一個周期內的計數值為M,則相位差為:△φ=2πMf /fc。為了減小偶然誤差,提高鑒相精度,可以對多個周期計數求平均。設N個周期的計數值為M'',則△φ=2πM''f/Nfc。

混頻電路的實現基于混頻器AD831。使用兩片AD831,分別用于參考信號與本振信號混頻及測量信號與本振信號混頻?;祛l后使用芯片MAX274進行帶通濾波,得到混頻后的低頻正弦信號。然后通過基于MAX912的過零比較電路將正弦信號轉換為同相位差的方波信號,輸入到FPGA中進行鑒相。在FPGA中,利用多周期自動數字鑒相法,對相位差進行檢測。其實現框圖如圖8所示。

在實際測量中,利用組合測尺頻率先后進行兩次測量。第一次取主振信號頻率為52MHz,本振信號頻率為51.99MHz;第二次取主振信號頻率為51MHz,本振信號頻率為50.99MHz。對應于混頻后信號頻率為10kHz。FPGA中鑒相高速計數脈沖頻率為50MHz?;谝陨蠀担瑢Χ喽喂饫w進行測量。兩次測量的結果進行分析比較,可得到測量值。被測光纖的實際光程已由精密反射儀通過光學方法進行標定。測量結果如表1所示。

由以上測量結果可以看到,在一定的量程范圍內,基于相位法的測量系統,對光纖光程的測量誤差絕對值小于2mm。
4 結論
本文在FPGA、直接數字頻率合成(DDS)、自動數字鑒相等技術的基礎上,設計并實現了基于相位法的電路測量系統。實際測量結果表明,此測量系統在一定的量程范圍內,對光纖光程的測量誤差絕對值小于2mm。在此測量水平下,此測量系統可用于基于光纖的激光測距校正與檢定中,對其中的光纖基線進行測量和標定,這為光電測距儀和全站儀的室內檢定提供了一個可行的方案和參考。
本文所論述的相位法測量的電路實現是一個初步方案,在電路設計、系統優化和誤差分析等方面還需要做進一步的改進,以提高系統性能。





