- 電路結構與降噪原理
- 主要器件參數的設定
- 電源測試與效果
- 從源頭上消除電磁噪聲
- 系統互補抑制噪聲技術
電源裝置是電子電氣設備中所不可缺少的部件,開關電源以其效率高、體積小、重量輕、電壓適應性好等優點,受到相關行業的青睞。但目前存在的缺陷是電磁騷擾大,對環境或對其他設備造成不利影響。目前對于可變負載的開關電源,筆者所了解到的產品最低輸出噪聲電壓也在70 mV以上。設計低電磁騷擾的開關電源,也就成了許多設計人員的希望,為此提出了種種方法。本例設計要點不同于常規技術,而是采取了從源頭上對電磁噪聲進行消除,再結合一些常規措施。將電源輸出端口的噪聲電壓降至20 mV以下,顯著提高開關電源的電磁兼容性指標。
1 開關電源電路結構與降噪原理
該開關電源的設計目標是穩定20 V輸出,輸出電流0~2 A可變,用于音響系統。為了突出降低電磁噪聲的處理技術,簡化電路,用單片開關電源芯片TOP224Y進行設計。TOP224Y內部已包含了PWM調制所需的所有電路以及激勵管輸出,由它激勵變壓器,開關頻率為100 kHz,內部MOS激勵管的耐壓為700 V,輸出功率小于45 W。電路如圖1所示,該電路可以獲得更大的輸出功率,只需更改部分器件。圖1中左邊的電路R1,L1,D1,C1至C7是常規的共模濾波和整流電路,獲取約300 V的直流電壓供DC-DC變換電路使用;最右邊電路L5,C11等是普通的LC濾波電路;IC2,D8,R9,R10組成電壓反饋電路,形成閉環結構,穩定電源輸出電壓;中間部分是DC-DC變換器,降噪聲的關鍵是對這一部分的電路進行適當處理。

對于中間部分電路而言,TOP224Y作為PWM控制、激勵,都是常規處理。控制端C的工作電壓取自變壓器的反激勵電壓,其中D3是整流管,D4是發光二極管,用作指導燈。C端的反饋信號來自IC2的輸出。芯片的漏極輸出端D連接變壓器和R1,D2,其中R1是半導體壓敏電阻,與D2一起組成芯片限壓保護電路,防止芯片因過壓而擊穿。該項電路的激勵方式采用以正激勵為主的正、反混合激勵式,變壓器有4個繞組,其中2個是基本相似的輸出繞組n3,n4,它的同名端關系如圖2所示。
DC-DC變換后的整流管使用了三只:D5,D6和D7,沒有獨立設置續流二極管,不同于其他電源電路。D5為續流而設置的復用二極管,D6和是正激勵脈沖整流二極管,D7是反激勵電壓整流二極管。L4是DC-DC變換后的第一級濾波電感。在正激勵期間,變壓器輸出繞組n3經D6,L4輸出電流,第一級濾波電感L4中電流i4增大,同時,變壓器自身利益的激勵磁電流i1也在增大。
[page]
當正激勵結束馬上就進入反激勵階段,濾波電感L4中電流i4將從原值逐步減小。而變壓器中也會保持勵磁電流,但它是多繞組結構,勵磁電流可以出現在任意一個繞組中,各電流方向以維持原磁場方向為準。如果控制當時的濾波電感電流i4>n1i1/n4,可以將變壓器磁芯中的勵磁電流全部轉移至n4繞組。也就是電流i4流經變壓器輸出繞組n4,除了維持變壓器磁芯磁場,尚有多余,其余量在n4與n3中按匝數比分配。此時,二極管D5馬上導通,二極管D6繼續導通,而二極管D7仍然截止。變壓器繞組無感生電壓,不放釋放磁場能。隨著濾波電感儲能的釋放,電流i4逐步減小,直至i4=n1i1/n4時,D6進入截止狀態。可見D6沒有被除數強迫截止,處理得當,可以消除其關斷噪聲。接著,變壓器開始產生反激勵電動勢而釋放儲能,二極管D7開始導通,變壓器的反激勵電壓被限制。直到變壓器儲能釋放盡,等待下一個周期的激勵。
按照這一方法處理,可以消除整流二極管D6的硬關斷噪聲,但變壓器漏感造成的芯片激勵管的硬關斷噪聲仍然存在,這里的輔助繞組可以起到一定的吸收作用。對于整流二極管的硬開通噪聲,仍采用RC電路吸收能量,降低噪聲,如圖1中的R7,C10電路。
2 主要器件參數的設定
2.1 確定變壓器參數
電路的正激勵電壓U為300 V,根據芯片的反向耐壓參數和可靠性要求,反激電壓設為200 V。開關周期為10μs,因此,其中正激勵時間為t1=4.0 μs,反激勵時間為t2=6.0 μs。按照15 W反激勵輸出功率計算,每一個周期里變壓器儲能應該達到150μJ,即Li1m2=300μJ而Lilm=U1t1,所以有:

式中:i1m為變壓器初級線圈的最大電流值(單位:A)。可以算得變壓器初級繞組的電感量L0應該達到4.8 mH。若該電感量取得再大一些也可以,只是反激勵能量會減小,要更多地依靠正激勵輸出。
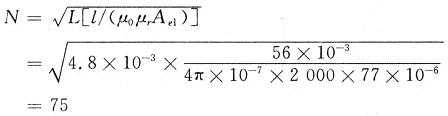
對于變壓器初級繞組的匝數.按照40 W輸出功率的要求,變壓器可以采用E128錳鋅鐵氧體磁芯,其平均磁路長度為56 mm,中心磁芯截面積Ae1為77 mm2。這一規格的變壓器為了避免磁芯出現磁飽和,初級繞組的最少匝數為:
![]()
Bmax是變壓器磁芯允許的最大磁感應強度。為了達到4.8 mH電量的初級繞組匝數:

顯然,繞制75匝磁路閉合時已接近磁飽和狀態。為了可靠起見,增加初級繞組匝數,控制在80~100匝間,這里取為100匝。同時,在磁路中設置氣隙以增加磁路磁阻Rm。氣隙厚度通常根據實際測試情況確定。這類單極性激勵電路將變壓器輸出繞組設計成不對稱結構。根據輸出20 V輸出電壓的限制,輸出繞組n4反激電壓定為21 V,變比n=200:21=9.5。反激勵輸出繞組n4的匝數根據變壓比可確定為各11匝;輸出繞組n3正激電壓定為20/0.4=50 V。正激勵輸出繞組n3的匝數為100x 50/300=16匝;反饋電壓采用反激勵輸出,以穩定輸出電壓值。按照200:15計算,繞組的匝數為8匝。按照以上這些參數,合理繞制變壓器。
2.2 確定第一級濾波電感參數
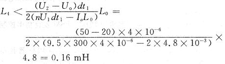
第一濾波電感的電感量確定原則是:在變壓器的正激勵期間,濾波電感中形成的勵磁電流i4足以維持變壓器雄姿磁芯中勵磁的需要。如果是大電流輸出,按連續濾波考慮,L4的電感量取值為:
式中:n是變壓器的反激匝比,在此為9.5;U1是原邊正激勵電壓;U2是副邊正激勵電壓;U0是電源輸出的直流電壓。如果是小電流輸出,按斷續濾波考慮,L4的電感量為:
考慮不同輸出電流均能符合續流要求,第一濾波電感L4的電感量可以取為45μH,這一電感量不能取得過小。
濾波器磁芯的材料一般采用粉芯磁環,它比鐵氧體磁芯的儲能值大。若選用φ22鐵粉芯磁環,其平均磁路長度為50 mm,磁芯橫截面積Ac2為6×11 mm2,相對磁導率為70。達到50μH的線圈匝數為:

濾波器不飽和最大工作電流與磁芯材料的關系為Imax=(BmaxAe2Rm/N)=(Bmaxl/μ0μτN)。由此算得允許的最大工作電流為16 A,遠大于電源的實際輸出電流,不會出現磁飽和,可以放心使用。該濾波實際在φ22鐵粉芯磁環上繞26匝,實測為0.048 mH。
[page]
2.3 確定其他主要元件參數
第二級濾波電感器也采用同規格的鐵粉芯磁環,在不出現磁飽和的條件下,電感量以大為好,一般要達到100μH以上。
濾波電容的容量在體積與成本許可的條件下,以大為好,一般取1 000μF左右。而且要將電解電容器與高速的CBB電容順聯合使用,以提高高頻脈沖的濾波能力。
高頻整流二極管應采用快恢復管或者肖特基管,否則,開關噪聲還是難以消除。各二極管的最大整流電流值在2 A以上,反向耐壓參數在80 V以上。為了降低共模傳導和輻射騷擾,開關電源在裝配時應該保證高頻交流信號共地結構,采取有效的電磁屏蔽等措施。
3 電源測試與效果
這一例開關電源電磁騷擾抑制技術主要依靠變壓器與濾波器互相協調工作實現的,可以稱之為系統互補抑制噪聲技術。該電源經過實驗室測試,其輸出噪聲相比采用同樣器件的常規電源低得多。圖3是兩者輸出端口噪聲電壓波形的比較,其中,圖3(a)是普通電路的效果,圖3(b)是系統互補抑制噪聲技術的效果。在圖3(b)中的噪聲波形已經包含部分共模輻射噪聲波形(淡灰色部分),實際差模噪聲電壓比圖中的幅度還要小,在20 mV以下。這一點可以將示波器探頭芯線與地線短接后,單點連接電源輸出端顯示波形加以證明。如果是差模電壓,不會在單點連接時顯示在示波器上,共模噪聲電壓則會顯示。而且,不管連接在正極還是負極上,顯示波形幅度與特征均相同。共模噪聲幅度需要在接地方式和加裝外屏蔽殼進行抑制。
4 結 語
系統互補抑制噪聲技術可以大幅度地降低差模噪聲電壓輸出。從開關器件上電流、電壓變化的特點上看,這一種設計實際是降低了開關器件的硬特性要求,對于提高電路的工作效率也十分有效。所制作的整個電源裝置發熱情況比較理想,說明工作效率較高。開關電源產生電磁騷擾的最主要原因是開關器件上的電流發生突變,合理使用電感器可以很好地抑制這種電磁騷擾。
以上重點對于一種新的抑制電磁騷擾技術進行設計,開關電源的電磁噪聲產生的因素有很多,應該有針對性地逐個加以排除,才能獲得性能比較完善的電源裝置。




