【導讀】在做射頻的時候,選擇電感電容時特別關注他們的Q值,那什么是Q值呢?Q值是什么意思,它為什么重要?品質因數Q:表征一個儲能器件(如電感線圈、電容等)、諧振電路所儲能量同每周損耗能量之比的一種質量指標。元件的Q值愈大,用該元件組成的電路或網絡的選擇性愈佳。

或Q=無功功率/有功功率,或稱特性阻抗與回路電阻之比。
Q值越高,損耗越小,效率越高;
Q 值越高,諧振器的頻率穩定度就越高,因此,能夠更準確。
如何理解Q值和ESR值評估高頻貼片電容器的一個重要性能指標是品質因素Q,或者是與其相關的等效串聯電阻(ESR)。
理論上,一個“完美”的電容器應該表現為ESR為零歐姆、純容抗性的無阻抗元件。不論何種頻率,電流通過電容時都會比電壓提前正好90度的相位。實際上,電容是不完美的,會或多或少存在一定值的ESR。一個特定電容的ESR隨著頻率的變化而變化,并且是有等式關系的。
這是由于ESR的來源是導電電極結構的特性和絕緣介質的結構特性。為了模型化分析,把ESR當成單個的串聯寄生元。過去,所有的電容參數都是在1MHz的標準頻率下測得,但當今是一個更高頻的世界,1MHz的條件是遠遠不夠的。一個性能優秀的高頻電容給出的典型參數值應該為:200MHz ,ESR=0.04Ω;900MHz, ESR=0.10Ω;2000MHz,ESR=0.13Ω。Q值是一個無量綱數,數值上等于電容的電抗除以寄生電阻(ESR)。Q值隨頻率變化而有很大的變化,這是由于電抗和電阻都隨著頻率而變。頻率或者容量的改變會使電抗有著非常大的變化,因此Q值也會跟著發生很大的變化。
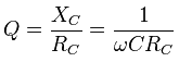
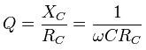
定義電容的品質因數,也就是Q值,也就是電容的儲存功率與損耗功率的比:
Qc=(1/ωC)/ESR
Q值對高頻電容是比較重要的參數。
自諧振頻率(Self-Resonance Frequency)
由于ESL的存在,與C一起構成了一個諧振電路,其諧振頻率便是電容的自諧振頻率。在自諧振頻率前,電容的阻抗隨著頻率增加而變小;在自諧振頻率后,電容的阻抗隨著頻率增加而變小,就呈現感性;如下圖所示:

隨著頻率升高,電容的不理想模型會更復雜:

(C:電容 Rp:絕緣電阻和介質損耗 Rs:引線/電極電阻 L:引線/電極電感)
典型的電容器件等效電路如圖1所示。在這個等效電路中,容值C是最主要的部分,串連電阻Rs和電感L是由于器件管腳引線或電極產生的寄生參數。并聯電容Rp是反映電容兩個管腳之間存。

把以上寄生參數全部考慮之后,阻抗公式如上面公式。
由于這些寄生參數的存在,現實中而非理想中的電容器件的總阻抗由下面表達式中的實部和虛部兩個部分組成:
如果可以忽略電極間的泄漏,即Rp的阻抗無窮大(或遠遠大 Ls(ESL) Rs (ESR) C 于相對于容值C的阻抗),那么上面的等效電路可以進一步簡化為下面的3元模型(如圖所示)。其中ESL為等效串聯電感Ls, ESR為等效串聯電阻Rs。

根據這個簡化的電路模型,可以得到電容器件總阻抗隨頻率變化的關系,如圖所示。由于等效串聯電感LS的存在,隨著信號頻率f的增加,電容C的容抗XC降低,而極性相反的等效串連電感Ls的感抗XL 增加,在某一個頻率點f0,XC=-XL。此時電容器件的總阻抗|Z|=Rs,我們稱此頻率點f0為自諧振頻率(SRF),小于SRF頻率時,該器件成電容特性,反之大于SRF頻率,器件發生極性轉化,成電感特性(如圖下圖所示,紅色相位曲線從-90°跳變到+90°)。

Q值相當于D值的倒數。損失角即D值: 一般電解電容器因為內阻較大故D值較高, 其規格視電容值高低決定, 為0.1-0.24以下. 塑料薄膜電容器則D值較低, 視其材質決定為0.001-0.01以下. 陶瓷電容器視其材質決定, Hi-K type 及S/C type為0.025以下. T/C type其規格以Q值表示需高于400-1000.
注:XC=-j/(2πfC);XL=j(2πfL)
根據損耗因子D的定義:D=1/Q=R/|X|>0 將前面的公式代入,得到:

如果可以忽略電極間的泄漏,即Rp的阻抗無窮大(或遠遠大于相對于容值C的阻抗),損耗因子D的計算公式大大簡化為:

如果信號頻率遠遠小于SRF諧振頻率,則X C >>X L , 即X L 可以忽略,則公式進一步簡化

即上面提到的:

由圖可見,電容器的引線電感將隨著頻率的升高而降低電容器的特性。如果引線電感與實際電容器的電容諧振,這將會產生一個串聯諧振,使總電抗趨向為0W。由于這個串聯諧振產生一個很小的串聯阻抗,所以非常適合在射頻電路的耦合和去耦電路中應用。然而,當電路的工作頻率高于串聯諧振頻率時,該電容器將表現為電感性而不是電容性。
推薦閱讀:




